Skip to content Skip to sidebar Skip to footer

Widget HTML #1

How To Find Total Current In A Parallel Circuit : To make sure you have done it right, just remember the total current in each parallel branch should equal the total current of the circuit.

How To Find Total Current In A Parallel Circuit : To make sure you have done it right, just remember the total current in each parallel branch should equal the total current of the circuit.. Let's investigate what happens when we increase the resistance in a series circuit. The behavior of current in parallel circuits will be shown by a series of illustrations when ohm's law is applied, the current flow through each resistor is found to be the same as the current through the single resistor in part (a). This is how electrons flow in a parallel circuit. The total admittance of the circuit can simply be found by the addition of the parallel admittances. An electric current is a flow of electric charge around a circuit.

This means you can always solve for a missing. Therefore, the current passing through each resistor. (6) in a series circuit, the total resistance can be found by simply adding the resistance of each dc parallel circuit: A parallel circuit has two or more branches that all lead from point a to point b. The behavior of current in parallel circuits will be shown by a series of illustrations when ohm's law is applied, the current flow through each resistor is found to be the same as the current through the single resistor in part (a).

Gcse Physics Electricity What Is The Current In A Parallel Circuit How To Calculate The Current In A Parallel Circuit Gcse Science
Gcse Physics Electricity What Is The Current In A Parallel Circuit How To Calculate The Current In A Parallel Circuit Gcse Science from www.gcsescience.com
When multiple resistors are used in a circuit, the total resistance in the circuit must be found before finding the current. How do we find the total resistance of the circuit? How could we find the current that passes through each resistor in this circuit? The total admittance of the circuit can simply be found by the addition of the parallel admittances. A closed circuit in which the current divides into two or more paths before covers the design of a parallel circuit and the characteristics of individual and total resistance, current, and oops, looks like cookies are disabled on your browser. The total circuit current is equal to the sum of the individual branch currents. In a parallel circuit, current get divided among the parallel branches in a manner so that the product of current and the resistance of each branch becomes same. Each column in your chart includes voltage, current, and resistance.

(6) in a series circuit, the total resistance can be found by simply adding the resistance of each dc parallel circuit:

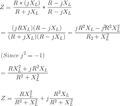
In certain cases involving two resistors in parallel, it is useful to find an unknown resistor, rx , to obtain a certain rt. Parallel circuits have constant voltage drops across each branch while series circuits hold current constant throughout their closed loops. Lets take a simple parallel circuit with two 10 ohm resistors. A brief tutorial where i discuss how to find resistance total, current total, and individual currents for resistors in parallel. Resistance relationship in a parallel circuit 3. To make sure you have done it right, just remember the total current in each parallel branch should equal the total current of the circuit. We can find the through each resistor by two methods. A single stream of electrons use ohm's law to find the current in each branch. This is a circuit with two. In rlc parallel circuit, resistor, inductor, and capacitors are connected in parallel across alternating current source. For example, mathitotal = ir1 + ir2 + ir3/math the current through the current will be higher for the branch will less impedance or resistance compared to the other branch. In a parallel circuit, current get divided among the parallel branches in a manner so that the product of current and the resistance of each branch becomes same. Let's consider the circuit with two parallel resistors:

What formula is used to find total current in a parallel circuit when the total resistance and applied voltage of that circuit are known? The total current, is drawn from the supply is equal to the vector sum of the resistive, inductive and for drawing the phasor diagram of parallel rlc circuit, voltage is taken as reference because each branch and the total admittance of the circuit can be found by simply adding each branch's. Find the total resistance, divide the voltage by that, and you will have the current. A brief tutorial where i discuss how to find resistance total, current total, and individual currents for resistors in parallel. This moves from the negative end of the cell to the positive end.

Simple Parallel Circuits Series And Parallel Circuits Electronics Textbook
Simple Parallel Circuits Series And Parallel Circuits Electronics Textbook from www.allaboutcircuits.com
How to alter parallel circuit. To find the value of the current flowing. That is let's say it is 1 ohm and then in parallel to this whole thing now you can see how hairy it's getting i have a resistor that is i don't know let's say 3. How do we find the total resistance of the circuit? Power factor in rlc parallel circuit : What formula is used to find total current in a parallel circuit when the total resistance and applied voltage of that circuit are known? Total resistance in a parallel circuit. In other words, the loads are current.

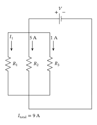
A parallel circuit has two or more branches that all lead from point a to point b.

In a parallel circuit, current get divided among the parallel branches in a manner so that the product of current and the resistance of each branch becomes same. Investigating, hypothesising, following instructions, observing a series circuit only provides one pathway for the electrons to follow. A closed circuit in which the current divides into two or more paths before covers the design of a parallel circuit and the characteristics of individual and total resistance, current, and oops, looks like cookies are disabled on your browser. A parallel circuit has two or more branches that all lead from point a to point b. In a parallel circuit, the components are connected in such a way that the current flows through the branches that means current is same in all the branches of components. This is how electrons flow in a parallel circuit. Nonetheless, when taken as a whole, the total amount of current in all the branches when added together is the same as the amount of current at. Total current is equal to the sum of current in each path of the parallel circuit. How do we find the total resistance of the circuit? Individual resistances diminish to equal a smaller total mathematically, the relationship between total resistance and individual resistances in a parallel circuit looks like this: Total current through the circuit is equal to the sum of the currents in a parallel combination of resistors the voltage (or potential difference) across each resistor is the same and is equal to the applied voltage i.e. Electrons leave the positive side of the battery, and the total current flows through the wire from the positive side of the battery, to the tops of the two if you're given the voltage in the circuit, you can easily find the current of one resistor with the formula To make sure you have done it right, just remember the total current in each parallel branch should equal the total current of the circuit.

Let's investigate what happens when we increase the resistance in a series circuit. The total resistance of a set of resistors in parallel is found by adding up the reciprocals of the resistance values, and then taking the reciprocal of the total For example, mathitotal = ir1 + ir2 + ir3/math the current through the current will be higher for the branch will less impedance or resistance compared to the other branch. That is let's say it is 1 ohm and then in parallel to this whole thing now you can see how hairy it's getting i have a resistor that is i don't know let's say 3. The total resistance of a set of resistors in parallel is found by adding up the reciprocals of the resistance values, and then taking.

Parallel Circuits Elpt 1311 Basic Electrical Theory Chapter
Parallel Circuits Elpt 1311 Basic Electrical Theory Chapter from slidetodoc.com
In rlc parallel circuit, resistor, inductor, and capacitors are connected in parallel across alternating current source. Total current(i) in a parallel circuit is equal to the sum of the individual branch currents. What formula is used to find total current in a parallel circuit when the total resistance and applied voltage of that circuit are known? A parallel circuit has two or more branches that all lead from point a to point b. Let's investigate what happens when we increase the resistance in a series circuit. Click here to see how to enable them. This is a circuit with two. Parallel circuit, pattern of a current flow in a parallel circuit, examples and step by step solutions, gcse / igcse physics, notes.

An electric current is a flow of electric charge around a circuit.

A single stream of electrons use ohm's law to find the current in each branch. To find the appropriate formula, we start with above equation and let the known resistor be r and. Investigating, hypothesising, following instructions, observing a series circuit only provides one pathway for the electrons to follow. Total current is equal to the sum of current in each path of the parallel circuit. Total resistance in a parallel circuit. Total current through the circuit is equal to the sum of the currents in a parallel combination of resistors the voltage (or potential difference) across each resistor is the same and is equal to the applied voltage i.e. This is the part which people struggle with the most, it looks difficult because of the formula we use. Parallel circuits have constant voltage drops across each branch while series circuits hold current constant throughout their closed loops. The total resistance of a set of resistors in parallel is found by adding up the reciprocals of the resistance values, and then taking. Click here to see how to enable them. The total admittance of the circuit can simply be found by the addition of the parallel admittances. How the total resistance of the circuit is related to resistance. Find the total resistance of a parallel circuit which has one 12ω and one 4ω resistor.